교육부 공식 블로그
노트 필기가 궁금하신가요? 이렇게 해보는 건 어떠세요? 본문

"많은 사람들은 ‘필기’에 익숙하지 않습니다."
요즘은 스마트폰을 사용하는 시대에 있다 보니, 많은 사람들이 자판으로 치는 것은 익숙하지만, 손을 사용해 공책 필기를 하는 것에는 부담을 느끼고 있습니다. 하지만 학교에서는 학생들에게 “필기”에 대해 많이 이야기하고 있고, 선생님의 판서 내용을 학생들에게 그대로 쓰게끔 하거나 요약해서 작성하기 마련입니다.
하지만 공책 필기는 공부하는 데에 있어서 큰 도움을 줄 수 있으며, 평생토록 기억에 남는 것을 도와주기 때문에 학습 내용을 정리하는 데에 매우 중요하다고 할 수 있습니다. 특히, 대학생이 된 이후로는 필기가 매우 중요합니다. 오늘 저와 함께 살펴볼 내용은 대학생의 필기, 그리고 대학원생의 필기를 보여드릴까 합니다. 먼저 협조에 응해주신 단국대학교 에너지공학과 강가애 학생, 김건웅 학생, 이세영 학생, 단국대학교 수학과 이주희 학생에게 깊은 감사를 표합니다.
(1) 공대생의 필기는 어떨까?


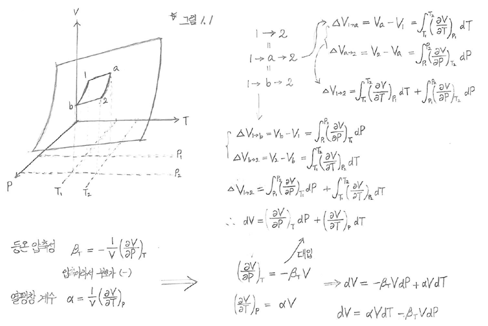
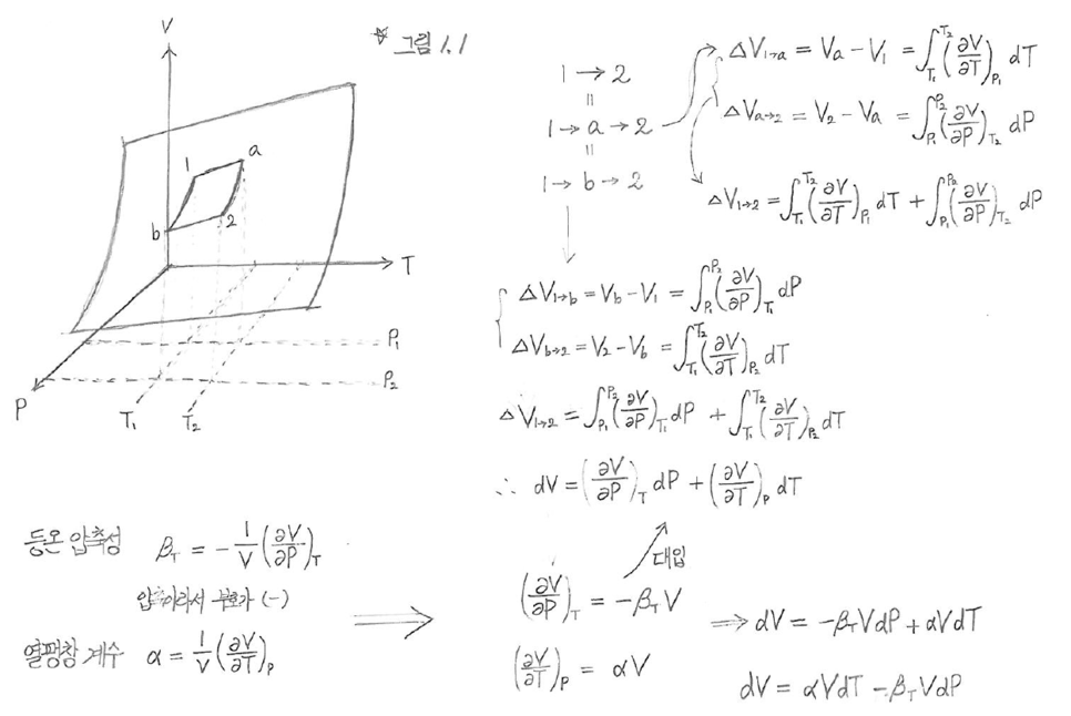
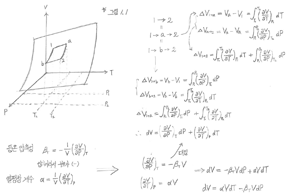
이 학생의 필기를 보면, 굉장히 깔끔하면서도 필요한 계산이 있다면 그 내용을 작성한 것을 볼 수 있습니다.
특히, 그림에서 볼 수 있듯 3차원 좌표평면과 함께 필요한 수학 계산식을 볼 수 있는데요,
굉장히 복잡하지만 간략하게 압축시켰으면서도 핵심이 드러나는 필기 내용이라고 볼 수 있습니다.


이 학생은 현재 화학에 대한 개념 필기를 보여주는데요, 당시 원자론에 대해서 수업을 들은 듯합니다.
여기서 빨간색으로 단원을 작성했고, 보라색으로 결론을 도출한 것 같습니다!
또한, 빨간색을 다시 한번 이용해서 중요한 내용을 한눈에 알아볼 수 있습니다.


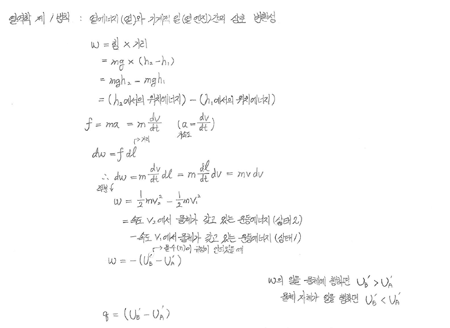
마지막 학생이 필기한 내용을 분석해보면, 역시 그림과 함께 설명을 작성했습니다.
파란색은 주로 내용에 대한 부연 설명을 붙이고, 녹색은 용어의 의미 또는 예시를 작성했는데요.
아무래도 공학 특성상 현상을 이해하기에는 다소 어려움이 있어 이론에서 배우는 내용으로는 한계가 있을 수 있지만,
이러한 필기를 통해서 실험 교과목과 대조하면서 정말로 그러한 현상이 일어나는지를 알아보는 좋은 방법이라고 생각합니다!
(2) 수학 전공 대학생의 필기는 어떨까?


그렇다면 수학은 어떨까요?
이 학생이 듣고 있는 수학은 선형대수학이라는 교과목인데, 영어로 수업을 듣고 있는 듯합니다.
지금까지는 수학이 단순히 그래프를 그리거나 문제를 푸는 정도였다면
대학교에서의 수학은 그러한 풀이에 대한 과정을 상세하게 기록을 해야 하는 교과목이라고 할 수 있겠습니다.
한편, 이 학생의 필기를 보시면 반드시 줄 노트라고 해서 그 칸에만 쓰는 것이 아니라 자유롭게 쓸 수 있다는 것을
보여주고 있습니다. 이것이 본인만의 필기법이라고 합니다!
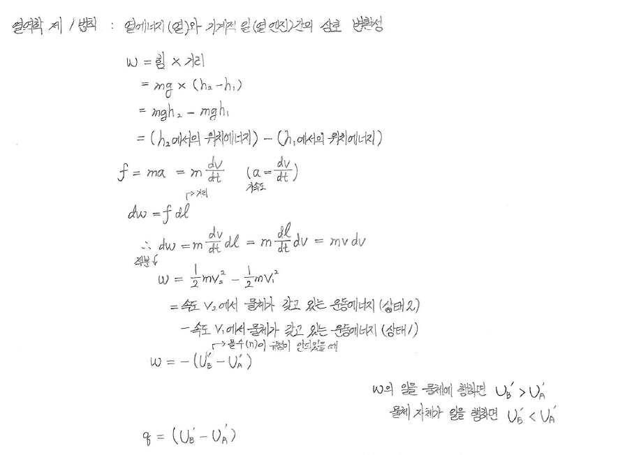
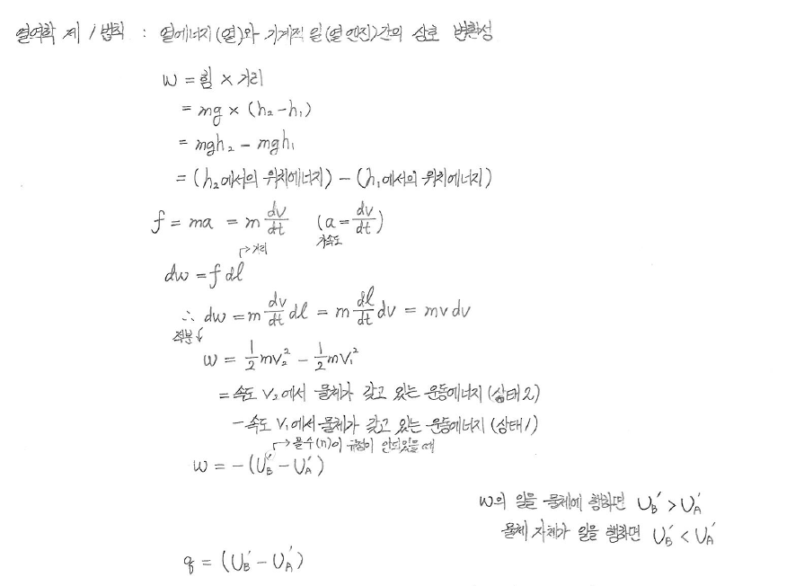
(3) 수학교육학 전공 대학원생의 필기는 어떨까?



“왜 다른 사람들 것만 보여줘요? 기자님 필기도 보여주세요!”라고 하실 분들이 계실까 봐 준비했습니다.
저는 현재 교육대학원에서 수학교육을 전공하고 있는데요,
수학교육이라고 해서 정말 학교 현장의 수학만을 수업받는 것이 아니라 대학 수학도 함께 받고 있습니다.
그중 이번 학기에 수업을 듣는 위상수학에 대한 필기를 보여드리겠습니다.
제 필기는 세 번의 필기를 돌리는데요(?), 가장 먼저 검은색으로 기본적인 개념을 작성해둡니다.
이때 개념은 교재, 또는 교수님께서 수업하신 내용을 위주로 필기를 해 놓은 다음에
파란색으로 과정이 필요한 내용을 작성합니다.
증명을 해야 한다거나, 이 부분을 좀 더 풀어보고 싶다는 생각이 들면 쓰는 내용입니다.
이때, 검은색으로 필기했을 때 쓰고 싶은 내용이 있다면 충분한 공간을 두고 다음 내용을 필기합니다.
이후, 빨간색으로 중요한 내용, 또는 다른 교재에서 나오는 내용을 작성하여 필기를 마무리 짓습니다.
(4) 협조해준 학생들과의 인터뷰
Q. 필기할 때 색깔을 활용하시는 것 같습니다. 검은색 말고 파랑, 빨강, 녹색 쓸 때 어떤 포인트를 중심으로 필기를 하는지 설명 부탁드립니다.
- (이세영 학생; 이하 ‘세영’) 파란색은 주로 내용에 대한 부연 설명이고, 초록색은 용어의 의미나 예시 등과 같이 핵심 내용은 아니지만 추가로 알아두면 좋은 것들입니다. 빨간색은 그냥 다른 색들과 구분해서 표시하고 싶을 때 씁니다. 이렇게 성격에 따라 색깔을 구분해서 필기해야 나중에 반복 학습을 할 때 한눈에 잘 이해할 수 있습니다.
Q. 공대 수업 들을 때 필기하면 좋은 점
- (세영) 공학 특성상 내용이 어렵고 수식도 많아서 직접 써가며 차근차근 이해할 필요가 있습니다. 그래서 저는 수업 내용을 '나만의 방식'으로, '내가 이해하기 쉽게' 노트 필기하여 머릿속에 잘 정리되도록 합니다.
- (김건웅 학생; 이하 ‘건웅’) 수업 때 교수님께서 말씀하셨던 내용을 필기 해놓아야 나중에 시험공부할 때 크게 어려움을 겪지 않고 덜 복잡하게 공부할 수 있습니다. 책에 없는 내용을 교수님께서 부가적으로 설명해주시는 부분도 있어서 노트 필기가 꽤 중요하다고 생각합니다.
Q. 수학 수업 들을 때 필기하면 좋은 점
- (이주희 학생; 이하 ‘주희’) 수학이라는 과목 자체가 조를 편성해서 토론하거나 발표하는 수업을 하기에는 한계가 있기에, 주로 교수님이 학생들에게 판서를 통해 정의나 정리들을 알려주시는 수업을 하는 편입니다. 또한, 그 내용들이 지금까지 배워왔던 수학과는 달라 한 번에 이해하기 힘듭니다. 그래서 수업 시간에 교수님이 칠판에 적으시는 내용들을 필기해놓아야 집에 가서 복습하더라도 정확한 정의들을 기억해낼 수 있고, 정의와 관련된 여러 가지 문제들을 풀어낼 수 있다.
Q. 본인만의 필기 Tip이 있다면 소개해주세요.
- (건웅) 중요하다고 생각되는 그림이나 도표는 한 번씩 더 그려보면서 이해하려고 하는 편이고 아무리 긴 식이라도 처음부터 하나하나씩 직접 계산해보며 이해하려고 합니다.
- (주희) 간단하게 말하면 "정의-정리-예시" 순서로 정리를 합니다. 처음 알게 된 용어나 성질에 대한 정의를 먼저 정리하고 그 후에 정의에서 파생되는 여러 가지 정리, 성질 등을 정리하고 마지막으로 앞서 배우는 정의, 정리 등을 적용할 수 있는 예시들을 풀어보면서 정확하게 이해했는지, 문제에 잘 적용할 수 있는지 확인할 수 있도록 하는 것이 나름의 필기 방법이라고 할 수 있습니다.
(5) 스스로 인터뷰를 한다면?
Q. 본인이 필기해야겠다고 마음먹은 이유는?
(김정현 기자; 이하 ‘정현’) 원래는 줄이 있는 공책을 줄곧 써 왔지만, 대학생이 되면서부터는 A4용지로 바꿔 쓰기 시작했습니다. 칠판이 마치 A4용지와 대칭을 이룰 것 같아서였습니다. 그렇다 보니 교수님께서 필기하시는 모습 그대로를 따라 하고 싶었고, 그러면서 저만의 필기 방법을 다시 한번 생각해내어 ‘내가 학생들에게 강의하기 전에 준비해야 할 나만의 필기를 만들어보자’라는 생각에 시작하게 되었습니다.
Q. 본인만의 필기 Tip이 있다면 소개해주세요.
(정현) 수학뿐만 아니라 필기는 어느 교과목에서나 필요하다고 생각합니다. 공책 필기하실 때 흐름이라고 생각해 보신다면, 한 편의 이야기를 만들어나가는 과정이라고 생각돼 저는 되도록 이야기와 함께 작성해보려 합니다. 여러분도 필기하실 때 너무 부담 갖지 마시고 평생 보실 수 있는 거니까 편하게 수업 들으시면서 적는 게 어떨까 싶습니다.
※위 기사는 2019 교육부 국민서포터즈의 의견으로 작성되었습니다.


'교육부 국민서포터즈' 카테고리의 다른 글
| 교대 면접 준비 어떻게 했는지, 교대생이 알려드립니다! (0) | 2019.11.12 |
|---|---|
| 교육 소외계층 맞춤형 지원정책, 알아두고 혜택 받자! (0) | 2019.11.06 |
| 2019 교육기관 정부혁신 우수사례 경진대회의 생생한 현장 속으로 (0) | 2019.10.29 |
| 대학생들이 3년 만에 수능 문제를 풀어봤다!? (0) | 2019.10.25 |
| 가을맞이, 어디를 갈까? 과학관에 놀러 가요! (0) | 2019.10.23 |